Acrylic Acid-2-Acrylamido-2-Methylpropane Sulfonic Acid Copolymer (AA/AMPS)
CAS No.:40623-75-4
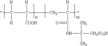
分子式: (C7H13NO4S)x.(C3H4O2)y 相對分子質量:279.31008
結構式:

性能與用途
AA/AMPS為丙烯酸與2-丙烯酰胺-2-甲基丙磺酸(AMPS)共聚而成。由于分子結構中含有阻垢分散性能好的羧酸基和強極性的磺酸基,能提高鈣容忍度,對水中的磷酸鈣、碳酸鈣、鋅垢等有顯著的阻垢作用,防止氧化鐵的沉積,尤其對磷酸鈣阻垢率高。并且分散性能優良。與有機膦復配,增效作用明顯。特別適合高pH、高堿度、高硬度的水質,是實現高濃縮倍數運行的最理想的阻垢分散劑之一。
AA/AMPS還可用作紡織印染助劑;造紙系統紙漿的阻垢劑。
技術指標
項目 | 指標 | |
HG/T 3642-2016 | -- | |
外 觀 | 無色至黃色粘稠液體 | 無色至黃色粘稠液體 |
pH值(1%水溶液) | ≤2.5 | 3.5~4.5 |
密度(20℃)/g·cm-3 | ≥1.05 | ≥1.15 |
游離單體(以AA計)/% | ≤0.2 | ≤0.50 |
極限粘數(30℃)/dl·g-1 | 0.055~0.100 | -- |
使用方法
AA/AMPS可與有機膦酸鹽、鋅鹽復合使用,適于pH條件為7.0~9.5。
包裝與貯存
AA/AMPS為塑料桶包裝,每桶25kg、200 kg或250 kg,也可根據用戶要求確定。AA/AMPS貯存期為十二個月。
安全防護
AA/AMPS為酸性,操作時注意勞動保護,應避免與皮膚、眼睛等接觸,接觸后用大量清水沖洗。
其他產品推薦